Cuando se realiza un estudio de mercado, una de las preguntas más frecuentes es: ¿cuántas encuestas son necesarias para obtener resultados fiables? La cantidad de encuestas, o el tamaño de la muestra, es un factor crucial que afecta directamente la validez y representatividad de los resultados. No existe un número mágico, ya que la cifra dependerá de varios factores que exploraremos en este artículo. Aquí te explicamos cómo determinar el número de encuestas que necesitas para tu estudio y los elementos clave que influyen en esta decisión.
Factores que influyen en la cantidad de encuestas necesarias
La cantidad de encuestas que necesitas en un estudio de mercado depende de varios factores. Algunos de los más importantes son:
- Tamaño de la población: Es fundamental saber cuántas personas conforman tu mercado objetivo. Cuanto más grande sea la población, mayor será la muestra requerida.
- Margen de error: El margen de error indica cuánta diferencia puedes tolerar entre los resultados de tu encuesta y la realidad. Un margen de error más pequeño requerirá una mayor cantidad de encuestas.
- Nivel de confianza: Esto indica la probabilidad de que los resultados de tu encuesta reflejen la realidad. En estudios de mercado, se suele utilizar un nivel de confianza del 95%, lo que significa que hay un 95% de probabilidad de que los resultados sean representativos.
- Variabilidad en las respuestas: Si las respuestas que esperas son muy diversas, necesitarás una muestra más grande para captar todas las variaciones. Por el contrario, si la opinión está muy polarizada, la muestra puede ser más pequeña.
Metodología para calcular el tamaño de la muestra en un estudio de mercado
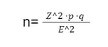
El cálculo del tamaño de muestra puede realizarse utilizando fórmulas estadísticas. Una de las más comunes es la fórmula para el tamaño de muestra para poblaciones grandes, que es la siguiente:

Donde:
- n es el tamaño de la muestra.
- Z es el valor z correspondiente al nivel de confianza (1.96 para un 95% de confianza).
- p es la proporción estimada de la población que tiene la característica que estamos estudiando (si no se conoce, se usa 0.5 para maximizar la variabilidad).
- q es 1 - p.
- E es el margen de error permitido.
Si tu población es pequeña (menos de 10,000 personas), deberás ajustar el tamaño de la muestra usando la corrección para poblaciones finitas.

Cuántas encuestas son necesarias para obtener resultados significativos
En términos generales, el número mínimo de encuestas necesarias para obtener resultados representativos suele estar entre 300 y 500 respuestas para estudios de mercado estándar. Sin embargo, esta cifra puede variar en función de los factores mencionados anteriormente. Para estudios más grandes, o aquellos que requieren un alto nivel de precisión, el número de encuestas puede subir a 1,000 o más.
Un ejemplo típico: si estás investigando un mercado con una población de 10,000 personas y quieres un margen de error del 5% y un nivel de confianza del 95%, necesitarías alrededor de 370 encuestas. Si aumentas el nivel de confianza o reduces el margen de error, necesitarás más encuestas.
Ejemplos prácticos: Cálculo del tamaño de muestra en diferentes estudios de mercado
- Estudio de satisfacción de clientes en una tienda online:
Población estimada de 5,000 clientes. Si buscas un margen de error del 5% y un nivel de confianza del 95%, necesitarías unas 357 encuestas. - Investigación sobre la preferencia de marcas en una ciudad:
Población estimada de 100,000 personas. Para obtener un margen de error del 3% con un nivel de confianza del 95%, necesitarías realizar alrededor de 1,067 encuestas. - Lanzamiento de un nuevo producto en un nicho específico:
Población pequeña de 1,500 personas. Con un margen de error del 5% y un nivel de confianza del 95%, unas 306 encuestas serían suficientes.
Cómo el objetivo del estudio afecta el número de encuestas requeridas
El objetivo del estudio tiene un impacto directo en el número de encuestas que necesitas. Si tu objetivo es hacer un análisis general de las preferencias del mercado, una muestra estándar puede ser suficiente. Sin embargo, si buscas hacer segmentaciones más detalladas o estudiar nichos específicos, es posible que necesites más encuestas para asegurarte de que cada segmento está adecuadamente representado.
Por ejemplo, si una empresa de servicios quiere entender la satisfacción del cliente en diferentes ciudades, necesitará suficientes encuestas por ciudad para garantizar que los resultados sean útiles y representativos para cada ubicación.
La relación entre la representatividad y el tamaño de muestra
La representatividad es la capacidad de tu muestra para reflejar fielmente las características de la población total. Cuanto mayor sea el tamaño de la muestra, más representativos serán tus resultados. Sin embargo, realizar un número muy elevado de encuestas no siempre es necesario, ya que después de un cierto punto, el aumento en la cantidad de encuestas genera rendimientos decrecientes en términos de precisión.
Por eso, es importante encontrar el equilibrio adecuado. En muchos casos, con un tamaño de muestra bien calculado puedes obtener resultados significativos sin necesidad de encuestar a miles de personas.
Te puede interesar:

