When conducting a market study, one of the most common questions is: how many surveys are necessary to obtain reliable results? The number of surveys, or sample size, is a crucial factor that directly affects the validity and representativeness of the results. There is no magic number, as the figure will depend on several factors that we will explore in this article. Here, we explain how to determine the number of surveys you need for your study and the key elements that influence this decision.
Factors influencing the number of surveys needed
The number of surveys you need in a market study depends on several factors. Some of the most important are:
- Population size: It is essential to know how many people make up your target market. The larger the population, the larger the sample required.
- Margin of error: The margin of error indicates how much difference you can tolerate between your survey results and reality. A smaller margin of error will require a larger number of surveys.
- Confidence level: This indicates the probability that your survey results reflect reality. In market studies, a 95% confidence level is commonly used, meaning there is a 95% chance that the results are representative.
- Variability in responses: If the responses you expect are very diverse, you will need a larger sample to capture all the variations. Conversely, if opinions are highly polarized, the sample size may be smaller.
Methodology for calculating sample size in a market study
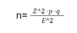
Sample size can be calculated using statistical formulas. One of the most common is the sample size formula for large populations, which is as follows:
Where:
- n is the sample size.
- Z is the Z value corresponding to the confidence level (1.96 for a 95% confidence level).
- p is the estimated proportion of the population that has the characteristic being studied (if unknown, use 0.5 to maximize variability).
- q is 1 - p.
- E is the allowed margin of error.
If your population is small (fewer than 10,000 people), you should adjust the sample size using the finite population correction.

How many surveys are necessary to obtain significant results
In general terms, the minimum number of surveys needed to obtain representative results is typically between 300 and 500 responses for standard market studies. However, this figure can vary depending on the factors mentioned earlier. For larger studies, or those that require a high level of precision, the number of surveys may increase to 1,000 or more.
A typical example: if you are researching a market with a population of 10,000 people and want a 5% margin of error and a 95% confidence level, you would need around 370 surveys. If you increase the confidence level or reduce the margin of error, you will need more surveys.
Practical examples: Sample size calculation in different market studies
- Customer satisfaction study in an online store:
Estimated population of 5,000 customers. If you want a 5% margin of error and a 95% confidence level, you would need about 357 surveys. - Research on brand preference in a city:
Estimated population of 100,000 people. To achieve a 3% margin of error with a 95% confidence level, you would need around 1,067 surveys. - Launch of a new product in a specific niche:
Small population of 1,500 people. With a 5% margin of error and a 95% confidence level, around 306 surveys would be sufficient.
How the study's objective affects the number of surveys required
The objective of the study has a direct impact on the number of surveys you need. If your goal is to conduct a general analysis of market preferences, a standard sample may be enough. However, if you want to make more detailed segmentations or study specific niches, you may need more surveys to ensure that each segment is adequately represented.
For example, if a service company wants to understand customer satisfaction in different cities, it will need enough surveys per city to ensure that the results are useful and representative for each location.
The relationship between representativeness and sample size
Representativeness is the ability of your sample to accurately reflect the characteristics of the entire population. The larger the sample size, the more representative your results will be. However, conducting an excessively large number of surveys is not always necessary, as beyond a certain point, increasing the number of surveys yields diminishing returns in terms of precision.
Therefore, it is important to find the right balance. In many cases, with a well-calculated sample size, you can obtain significant results without having to survey thousands of people.

